当前位置:肿瘤瞭望>资讯>新知>正文

ADC小课堂丨扒一扒三代ADC的传承和创新

作者:肿瘤瞭望   日期:2025/4/10 13:29:04  浏览量:7623

肿瘤瞭望版权所有,谢绝任何形式转载,侵犯版权者必予法律追究。

抗体偶联药物(Antibody-Drug Conjugates,ADC)是一种创新的癌症治疗策略,它结合了单克隆抗体的靶向特异性和细胞毒性药物的强大杀伤力。自20世纪初Paul Ehrlich提出“魔术子弹”概念以来,ADC经历了漫长的发展历程,逐渐成为现代癌症治疗领域的重要组成部分。近年来,随着生物技术、纳米技术和分子药理学的飞速发展,ADC在治疗多种癌症类型方面展现出巨大的潜力。本文将探讨ADC的发展历程,从第一代到第三代的技术进步和挑战。

编者按:抗体偶联药物(Antibody-Drug Conjugates,ADC)是一种创新的癌症治疗策略,它结合了单克隆抗体的靶向特异性和细胞毒性药物的强大杀伤力。自20世纪初Paul Ehrlich提出“魔术子弹”概念以来,ADC经历了漫长的发展历程,逐渐成为现代癌症治疗领域的重要组成部分。近年来,随着生物技术、纳米技术和分子药理学的飞速发展,ADC在治疗多种癌症类型方面展现出巨大的潜力。本文将探讨ADC的发展历程,从第一代到第三代的技术进步和挑战。
 
第一代ADC:鼠源单抗和不可裂解连接子
 
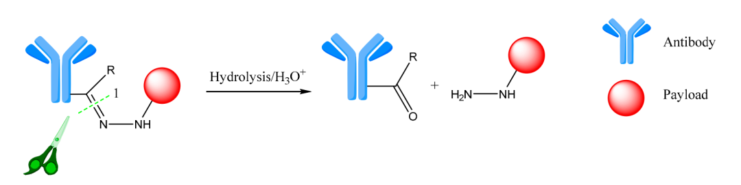
第一代ADC的特点是使用鼠源单克隆抗体和不可裂解的连接子,这些连接子缺乏对肿瘤组织的精确靶向性和高细胞毒性。例如,20世纪90年代进行的临床试验中,使用了通过酸不稳定连接子连接的抗Lewis Y嵌合单克隆抗体和多柔比星(BR96-Doxorubicin,BR96-Dox),但由于连接子的不稳定性和非靶向毒性,这些试验结果并不令人满意[1]
 
此外,这些ADC的治疗窗口非常窄,因其连接子要么过于稳定,导致效力下降,要么过于不稳定,导致系统性毒性增加。例如,腙类连接子(Hydrazone linker)的半衰期仅为43小时,这种设计缺陷导致BR96-Dox在2000年被FDA批准用于治疗CD33阳性急性髓性白血病(AML)后,因毒性问题在2010年被撤市[2]。后来,BR96-Dox在2017年重新获得批准,用于治疗复发或难治性CD33阳性急性髓性白血病[3]
 
△腙类连接子的水解位点示意图及第一代ADC BR96-Dox结构示意图
 
第二代ADC:均质性差导致非靶向性高
 
第二代ADC在克服第一代ADC的缺点方面取得了显著进展,特别是在单克隆抗体(mAb)技术、细胞毒性有效载荷和连接子的开发方面。这些ADCs通过使用人源化抗体、更高效的细胞毒性有效载荷和稳定的连接子,显著提高了靶向选择性和临床安全性。然而,仍然存在一些缺点,包括未结合抗体的存在,以及高药物抗体比(DAR)导致非靶向毒性和快速清除
 
第二代ADC的一个关键改进是通过位点特异性设计的mAb来解决异质性问题,包括使用修饰的半胱氨酸(Cys)残基和其他来源的氨基酸,以生产均质性更好的产品。此外,通过使用更稳定的连接子和优化的药物载荷,第二代ADCs在药代动力学和治疗窗口方面表现出更好的性能。例如,使用auristatin和maytansine等微管破坏剂作为有效载荷,可以在不引发抗体聚集的情况下,将多个活性细胞毒性分子装载到每个mAb上[4]
 
第二代ADCs的DAR值通常在2到8之间,具体取决于ADC的类型。例如,Trastuzumab emtansine(T-DM1)的平均DAR为3.5,Brentuximab vedotin(BV)的DAR为4,而Inotuzumab ozogamicin的DAR为6[5,6]。这些ADCs中未结合的mAb比例较低,约为5%,而第一代ADC如Gemtuzumab ozogamicin(GO)的未结合比例高达50%[7,8]。DAR值超过4的ADC通常表现出较低的耐受性、更快的血浆清除率,从而降低了体内疗效[6]。
 
为了进一步提高第二代ADC的效率和特异性,研究者们还采用了调节疏水性的策略,例如使用亲水性连接子,并应用化学结构-治疗活性关系。这些改进有助于提高ADC的血浆稳定性和DAR的均匀分布。尽管第二代ADCs在治疗效果和安全性方面取得了显著进展,但仍然需要解决治疗窗口不足的问题,这主要是由于非靶向毒性和DAR值过高导致的药物快速清除。
 
第三代ADC:新型偶联技术助力提质增效
 
第三代ADCs的研究旨在扩大治疗窗口,提高ADCs的活性和特异性。例如,开发双特异性mAb(包括IgG样和非IgG样)具有两个不同的结合位点[9]。此外,使用抗原结合片段(Fabs)代替完整的mAb也是一个创新技术。这些Fabs具有更高的稳定性、更容易内化、相对容易纯化,并且通常具有更低的免疫原性。
 
第三代ADCs的一个重要特点是通过位点特异性偶联技术(SSC)获得均质性更好的ADC产品,这些产品具有明确的DAR(2或4),并展现出最佳的细胞毒性和更好的药代动力学效率。例如,2019年,FDA批准了Polatuzumab vedotin(PV)、Enfortumab vedotin(EV)和Trastuzumab deruxtecan(T-DXd);2020年4月,则批准了Sacituzumab govitecan(SG)[10,11]
 
第三代ADCs的制造技术更加注重治疗靶向性。例如,MEDI4276(一种针对HER2的双表位mAb,通过马来酰亚胺连接子连接到四个tubulysine分子)、Vadastuximab talirine(一种针对CD33的mAb,通过蛋白酶可裂解连接子连接到两个PBD)和IMGN779(一种针对CD33的mAb,通过可裂解的二硫键连接子连接到三个Indolinobenzodiazepine分子)都是这一技术的代表[12]
 
ADC安全性:减少非靶向效应是关键
 
尽管ADCs具有许多优势,但仍存在一些安全性问题。一个主要问题是非靶向效应,这些效应是由于细胞毒性药物与非靶向分子结构的相互作用而产生的。由于单克隆抗体对肿瘤细胞的选择性不足,它们可能会与健康细胞上表达的抗原相互作用,导致正常组织中的细胞死亡。此外,肿瘤细胞的异质性也是一个问题,因为肿瘤细胞可能表达不同水平的目标抗原,这可能导致耐药性和疾病复发[13]
 
为了减少ADC的细胞毒性,研究者们提出了多种策略[13]
 
优化抗体对靶标抗原的特异性;
 
谨慎选择在健康细胞中表达量极低但在肿瘤细胞中高表达的靶标抗原;
 
使用稳定的连接子以确保药物在靶点释放;
 
在临床前评估非靶向毒性;
 
在临床试验期间仔细监测患者的不良反应;
 
此外,使用人源化或全人源抗体可以减少ADC的免疫原性。
 
总之,ADC作为一类创新的癌症治疗药物,结合了单克隆抗体的高靶向性和细胞毒性药物的强大杀伤作用,为癌症治疗提供了新的希望。从第一代到第三代,ADC技术不断进步,显著提高了靶向选择性、治疗效果和安全性。目前,全球已有多种ADC获得批准,用于治疗乳腺癌等多种实体瘤以及血液恶性肿瘤;而且有层出不穷的新型ADC正在开展临床试验中。然而,ADCs的发展仍面临非靶向毒性、肿瘤异质性和药物耐受性等挑战。未来的研究需要进一步优化ADC的结构和功能,以提高其治疗效果和安全性,推动其在个性化医疗和癌症治疗中的广泛应用。
 
参考文献
 
[1]Gogia,P.;Ashraf,H.;Bhasin,S.;Xu,Y.Antibody-Drug Conjugates:A Review of Approved Drugs and Their Clinical Level of Evidence.Cancers 2023,15,3886.
 
[2]Petersdorf,S.H.;Kopecky,K.J.;Slovak,M.;Willman,C.;Nevill,T.;Brandwein,J.;Larson,R.A.;Erba,H.P.;Stiff,P.J.;Stuart,R.K.;et al.A Phase 3 Study of Gemtuzumab Ozogamicin during Induction and Postconsolidation Therapy in Younger Patients with Acute Myeloid Leukemia.Blood 2013,121,4854–4860.
 
[3]Rowe,J.M.;Löwenberg,B.Gemtuzumab Ozogamicin in Acute Myeloid Leukemia:A Remarkable Saga about an Active Drug.Blood 2013,121,4838–4841.
 
[4]Erickson,H.K.;Widdison,W.C.;Mayo,M.F.;Whiteman,K.;Audette,C.;Wilhelm,S.D.;Singh,R.Tumor Delivery and in Vivo Processing of Disulfide-Linked and Thioether-Linked[5]Antibody-Maytansinoid Conjugates.Bioconjug.Chem.2010,21,84–92.
 
Donaghy,H.Effects of Antibody,Drug and Linker on the Preclinical and Clinical Toxicities of Antibody-Drug Conjugates.mAbs 2016,8,659–671.
 
[6]Hamblett,K.J.;Senter,P.D.;Chace,D.F.;Sun,M.M.C.;Lenox,J.;Cerveny,C.G.;Kissler,K.M.;Bernhardt,S.X.;Kopcha,A.K.;Zabinski,R.F.;et al.Effects of Drug Loading on the Antitumor Activity of a Monoclonal Antibody Drug Conjugate.Clin.Cancer Res.2004,10,7063–7070.
 
[7]Beck,A.;Haeuw,J.-F.;Wurch,T.;Goetsch,L.;Bailly,C.;Corvaïa,N.The Next Generation of Antibody-Drug Conjugates Comes of Age.Discov.Med.2010,10,329–339.
 
[8]Beck,A.;Goetsch,L.;Dumontet,C.;Corvaïa,N.Strategies and Challenges for the next Generation of Antibody–Drug Conjugates.Nat.Rev.Drug Discov.2017,16,315–337
 
[9]Liao,M.Z.;Lu,D.;Kågedal,M.;Miles,D.;Samineni,D.;Liu,S.N.;Li,C.Model-Informed Therapeutic Dose Optimization Strategies for Antibody–Drug Conjugates in Oncology:What Can We Learn From US Food and Drug Administration–Approved Antibody–Drug Conjugates?Clin.Pharmacol.Ther.2021,110,1216–1230
 
[10]Morgovan,C.;Dobrea,C.M.;Butuca,A.;Arseniu,A.M.;Frum,A.;Rus,L.L.;Chis,A.A.;Juncan,A.M.;Gligor,F.G.;Georgescu,C.;et al.Safety Profile of the Trastuzumab-Based ADCs:Analysis of Real-World Data Registered in Eudra Vigilance.Biomedicines 2024,12,953.
 
[11]Kamath,A.V.;Iyer,S.Preclinical Pharmacokinetic Considerations for the Development of Antibody Drug Conjugates.Pharm.Res.2015,32,3470–3479.
 
[12]Abdollahpour-Alitappeh,M.;Lotfinia,M.;Gharibi,T.;Mardaneh,J.;Farhadihosseinabadi,B.;Larki,P.;Faghfourian,B.;Sepehr,K.S.;Abbaszadeh-Goudarzi,K.;Abbaszadeh-Goudarzi,G.;et al.Antibody-Drug Conjugates(ADCs)for Cancer Therapy:Strategies,Challenges,and Successes.J.Cell.Physiol.2019,234,5628–5642.
 
[13]Chis AA,Dobrea CM,Arseniu AM,et al.Antibody-Drug Conjugates-Evolution and Perspectives.Int J Mol Sci.2024;25(13):6969.Published 2024 Jun 26.doi:10.3390/ijms25136969
 
审批编号:CN-20250402-00007

本内容仅供医学专业人士参考


抗体偶联药物

分享到: 更多